Slovenija
9225 ogledov

Znani novi podatki o odkritih okužbah v Sloveniji

Covid-19 Epa
Število novih okužb in delež pozitivnih testov počasi, a vztrajno pada.

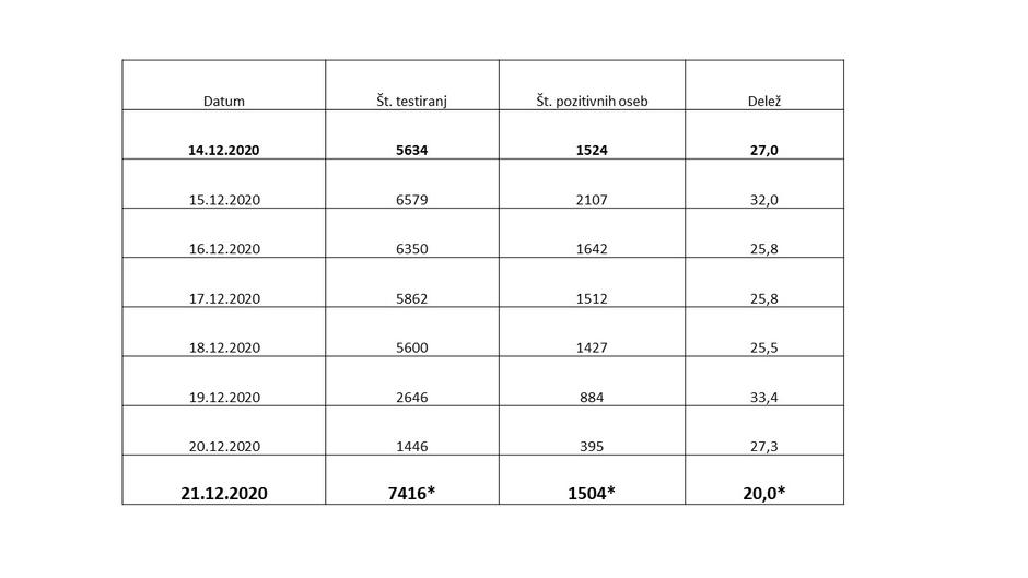
Ob 5763 opravljenih PCR testih je bilo v ponedeljek potrjenih 1474 novih okužb. To pomeni, da je bilo pozitivnih 25,58 odstotka testov. Do sedaj so v Sloveniji skupaj potrdili 107.457 novih okužb. 

Skupaj s hitrimi testi je bilo opravljenih 1716 testiranj, pozitivnih je bilo 1504 potrjenih primerov novih okužb. To pomeni, da je bil delež pozitivnih 20 odstoten. 

Epidemiološka slika v Sloveniji | Avtor: NIJZ NIJZ

Vlada Janeza Janše na Brdu pri Kranju Slovenija Vlada je sinoči sprejela več novih odlokov Bojana Beović Slovenija Beovićeva: To smo predlagali vladi hitro testiranje Zdravje Neverjetna gneča sredi Ljubljane: Tako ljudje čakajo za testiranje na covid-19

Pozitiven je podatek, da je bilo tudi ta ponedeljek potrjenih manj PCR okužb kot pred enim tednom, ko so v ponedeljek potrdili 1530 primerov novega koronavirusa.

Hospitaliziranih je bilo v ponedeljk 1261 oseb, od tega 207 na oddelkih za intenzivno nego. Skupaj so sprejeli 134 novih bolnikov, odpuščenih jih je bilo 119, bistveno več kot dan prej, ko je bilo odpustov iz bolnišnic le 22. V bolnišnicah je včeraj umrlo 15 oseb, še ena oseba je umrla v negovalni bolnišnici, 13 pa v DSO. Skupaj je zaradi bolezni covid-19 umrlo 39 oseb. 

V DSO je na novo ozdravljenih 219 stanovalcev in 42 zaposlenih, novih okužb pa je 176 med stanovalci in 35 med zapolenimi. "Aktivno okuženih je 1909 stanovalcev, bili smo že na večjih številkah, preko 2000 smo jih imeli," je na današnji tiskovni konferenci povedal vladni govorec Jelko Kacin. Največ novih okužb je v DSO Sežana, kjer so potrdili kar 53 novih primerov. 

Bolnišnice | Avtor: NIJZ NIJZ

Drugačno prikazovanje hitrih testov

Danes se je sicer v več slovenskih mestih začelo množično testiranje, spremenila pa se je tudi definicija hitrih testov, ki jih bodo sedaj uporabljali kot dokaz, da je nekdo pozitiven na sars-cov-2. Po novem bo veljalo, da je nekdo, ki dobi pozitivni hitri trest, tudi okužen s korona virusom in za portditev okužbe ne bo več potreben potrditveni PCR test. Doslej so po pozitivnem hitrem testu izvedli še molekularni PCR test, ki velja za bolj zanesljivega. Skladno s tem se bodo tudi prikazovali podatki o novih okužbah, posebej za PCR teste in posebej za hitre teste.

Covid-19, UKC Maribor, hitri testi Koronavirus Zdravje Z začetkom množičnega testiranja velika novost pri definiciji hitrega testa

"Ker je bilo opaziti precejšen interes, vse, ki boste čakali v vrsti, pozivamo, da upoštevate vse zaščitne ukrepe ter spoštujete varnostno razdaljo," je na današnji tiskovni konferenci po začetku testiranja v slovenskih mestih povedal Kacin. "Predvsem se na mestih odvzema brisov ne zadržujete, rezultate prejmete na telefon, zato ni potrebno, da čakate na točkah odvzema."

dezurni@zurnal24.si

Komentarjev 7
  • Avatar praufo
    praufo 13:56 22.december 2020.

    a je števc že naokol ???

  • Ender3 13:43 22.december 2020.

    Znana je tudi dosežena številka kovid preminulih 😎. Dnevna norma se izgleda z lahkoto doseže. Še vedno pa prikrivajo številke bolnikov na respiratorjih, da ne bi bilo ugibanj, koliko bolnikov umre, daleč od ustrezne pomoči.

  • Marcelko 13:12 22.december 2020.

    https://www.facebook.com/106797707922347/videos/248932129909775